MATRICES

QUESTIONS BASED ON ADDITION AND SUBTRACTION OF MATRICES


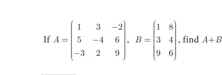
Q-1








Q-2


Q-3



     2A+3X=5B



Q-4                                                                                                                    


Comments